
共有“金諾案例”信息36條,熱線:18913098299
金諾專業提供金諾案例系列產品,歡迎選購!
伴隨著在我國城市化進程的進行,城市規劃建設日新月異,全國各地多層建筑如如雨后春筍連綿起伏,多層建筑因為樓層高度大,其給排水設備,中央空調機電設備等聚集遍布,這對樓房頂層住戶的震動影響相當嚴重,采用震動防護刻不容緩。
青島華邑酒店選用吳江金諾高品質彈簧減振器配合工程師精確的選型計算,完美解決了冷卻塔振動低頻噪音問題。


無論是高樓大廈高層還是主樓高層安裝的冷卻塔,一般離心風機葉轉速比在1400rpm上下,影響頻率為15Hz。普遍的減振彈黃的固有頻率一般都會3.5HZ上下,依據隔振效率公式,大概可計算出來隔振高效率在90%之上,應用彈黃減振器就能完成非常好的減震實際效果。
比如:
某一工程項目有8臺冷卻塔安裝在31層樓頂,每臺運作凈重12000kg,每臺冷卻塔下邊設立18個支點,可安裝18個減振器,單獨減振器安裝W=500Kg。
減振器設計方案測算:采用彈簧減振器,額定值工作中荷載500kg(極限荷載800kg),剛度k=20kg/mm,。
隔振高效率測算全過程:
隔振設備轉速:1400轉/分
設計減振臺座重量:0kg
減振體系總重量(W):12000kg(含30%安全系數)
選用減振器:JA-1-500
每臺選用4只:W/18=666kg/只(即單只載荷)
減振器型號:阻尼彈簧減振器 規格:JA-1-700
設備干擾頻率:f = n/60 f=23.33Hz
減振器固有頻率f0:
=2.73Hz
2、δ為減振器壓縮變形量 δ=33.33mm
頻率比:λ= f/ f0=8.54
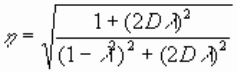
隔振效率T計算:T=(1-η)×100%

(η為傳遞率;D為阻尼比,D=0.04)
T=(1-η)×100%=98.31%
結論:隔振降噪效果甚佳。
注:有一定隔振效率≥80%,即頻率比f/f0≥2.5。
a>